Értékelve: 1x
(5 pont)
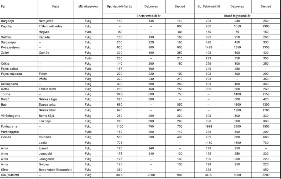
Zöldség-gyümölcs piaci árak 2019 február 6. hét
PIACI ÁRAK 2019. 6. hét
Az Agrárgazdasági Kutató Intézet (AKI) folyamatosan figyeli a mezőgazdasági termények árait, köztük a zöldségekét és gyümölcsökét is. Hétről-hétre körbejárják a nagyobb piacok és bevásárlóközpontok zöldséges standjait és feljegyzik az árakat.

Európai árak:

A kanadai típusu Orange sütőtök ára a nagybanin:

